Notice
Recent Posts
Recent Comments
Link
Herald-Lab
【물리학 - 열역학】 06. 열전도 본문
728x90
반응형

열에너지의 전달 방법 중 열전도에 대해 알아보자.
전도(conduction): 열이 금속과 같은 고체 물질을 타고 전달되는 현상으로 서로 접촉하고 있는 두 물체 사이에서 발생한다.

[그림 1]과 같이 온도가 높은 영역의 입자들은 차가운 이웃한 입자들보다 평균적으로 운동에너지가 더 크다. 운동에너지의 차로 인해 뜨거운 입자들이 옆의 입자들을 차례로 떠밀면서 에너지의 일부를 이웃입자에 전달한다. 열전도 현상에서 실제 입자 자신은 공간적으로 거의 이동하지 않는다[그림 2]. 그러나 입자가 가진 에너지는 열에너지의 형태로 '전도'를 통해 이웃 입자에 전달된다.

금속의 경우에는 금속 원자의 내부 전자 일부가 그들에 속해있던 원자를 떠나 결정격자 사이를 돌아다닐 수 있다.
- 속박에서 벗어난 전자는 자유전자(free electron)로 금속의 고온 부분에서 저온 부분으로 에너지를 매우 빠르게 전달한다.
- 금속은 자유전자의 특성으로 인해 매우 좋은 열 전도체가 된다.

열전도는 열의 전달 특성과 같이 아래 사항을 공유한다.
- 열에너지 이동은 서로 다른 온도 영역 사이에서만 발생한다.
- 열에너지 이동은 항상 고온에서 저온으로 일방향성을 띤다.
- 열에너지 이동은 고온부와 저온부의 온도가 일치할 때까지 일어난다.
전도 열류
Heat Current by Thermal Conduction
앞선 챕터에서 열류를 아래의 식과 같이 배웠다.

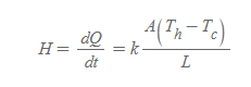
여기서 H를 전도열류라 하면, 열전도 과정에서 세 가지 변수[그림 3]가 H 값을 계산하는 데 영향을 준다.
- 고온부(T_h)와 저온부(T_c) 사이의 온도차
- 고온부와 저온부를 연결하는 지점의 길이 L
- 고온부와 저온부를 연결하는 지점의 단면적 A

전도 열류

■
<물리량>
- A: 단면적
- T_h-T_c: 고온부 온도에서 저온부 온도를 뺀 값
- L: 열 전도체 막대의 길이
- k: 열전도도(thermal conductivity), 물질에 부여된 열전도와 관련한 고유 상수로 물질마다 [표 1]과 같이 그 값이 부여되어 있다.
<의미>
- 단위 길이 당 온도 차는 특별히 온도 기울기(temperature gradient)라 부른다. 단위는 켈빈 퍼 미터 [K/m]이다.

온도는 변화가능하고 계의 크기에 무관한 물리적 성질(세기 성질)로 연속적이고 3차원의 공간에서 미분이 가능한 함수이기도 하다.

x, y, z는 각각 공간상의 좌표이고, 온도 기울기는 따라서 다음과 같이 정의할 수도 있다.

728x90
반응형
'물리학 > 열역학' 카테고리의 다른 글
| 【물리학 - 열역학】 08. 기체분자운동론 <PART 2> (0) | 2025.11.09 |
|---|---|
| 【물리학 - 열역학】 07. 기체분자운동론 <PART 1> (0) | 2025.11.08 |
| 【물리학 - 열역학】 05. 열에너지 흐름(열류) (0) | 2025.09.20 |
| 【물리학 - 열역학】 04. 삼투압 (0) | 2025.08.01 |
| 【물리학 - 열역학】 03. 반데르발스 방정식 (0) | 2025.07.30 |
