Herald-Lab
[물리학-고전역학] 중력장 운동 - 연직상방운동, 연직하방운동 | Vertical Upward, Vertical Downward Motion 본문
[물리학-고전역학] 중력장 운동 - 연직상방운동, 연직하방운동 | Vertical Upward, Vertical Downward Motion
herald-lab 2023. 10. 31. 20:45
중력장 운동이란,'중력'만이 물체의 운동에 영향을 주는 대표적인 고전역학 영역으로 [고전역학_자유낙하물체]에서 배운 자유낙하가속도(중력가속도)와 운동학 식을 다시 활용한다.
- 자유낙하운동: 초기 속도가 0인 상태로 지상을 향해 연직 아래로 떨어지는 물체의 운동[그림 1]
- 연직상방운동: 초기 속도가 v_0를 갖는 상태로 연직 위로 던진 물체의 운동
- 연직하방운동: 초기 속도가 v_0를 갖는 상태로 연직 아래로 던진 물체의 운동
- 수평투사운동: 2차원 상에 중력을 받는 물체를 수평으로 던진 운동
[물리학-고전역학] 자유낙하물체 | Freely Falling Objects
[고전역학_물체의 운동]에서 배운 물체의 운동 지식을 바탕으로 다양한 중력장 운동의 경우를 다루도록 한다. 갈릴레이의 사고 실험 Galilei's Thought Experiment 이탈리아의 위대한 철학자이자 물리학
herald-lab.tistory.com

중력장 운동을 하는 물체의 이동 방향을 (+) 방향으로 잡아 중력가속도의 부호를 정하면 그래프를 쉽게 그릴 수 있다.
- 중력장 운동 계산 시, 공기 저항의 요소는 제외한다.
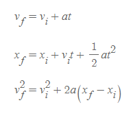
- 운동학 식에 (1)처음 속도와 (2)중력가속도를 적절히 대입하면, 각 운동에 대한 운동학 식을 유도할 수 있다.

자유낙하운동
Freely Falling Motion
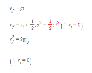
자유낙하운동의 조건: (1)v_i = 0, (2)a_y = g ⇒ 물체가 지표면 방향으로 떨어질 때, 같은 방향으로 중력이 작용하기 때문에, 여기서는 a_y에 +g 값을 넣을 수도 있다.

- 식에서 v는 y축에 대한 속도 성분이다.
- [그림 2]의 그래프를 통해 낙하거리, 속도 등을 기하학적으로 풀 수 있다.

연직상방운동
Vertical Upward Motion

연직상방운동[그림 3]의 조건: (1)+v_i, 물체를 '던진 방향'을 (+)로 두면, (2)a_y = -g이다.


- 식에서 v는 y축에 대한 속도 성분이다.
- [그림 4]의 그래프를 통해 낙하거리, 속도 등을 기하학적으로 풀 수 있다. 속도가 0이 되는 지점이 연직상방운동을 한 물체가 최고점에 있음을 확인한다.


만약 [그림 5]와 같이 물체를 던진 지점보다 더 아래로 물체가 떨어질 수 있는 경우, (1)물체를 던졌을 때의 운동과 (2)최고점에서 자유낙하를 하는 물체의 운동으로 두 단계로 과정을 나누어 볼 수도 있다.
연직하방운동
Vertical Downward Motion

연직하방운동[그림 6]의 조건: (1)+v_i, 물체를 '던진 방향'을 (+)로 두면, (2)a_y = +g이다.

- 식에서 v는 y축에 대한 속도 성분이다.
- [그림 7]의 그래프를 활용해 낙하거리, 속도 등을 기하학적으로 풀 수 있다.

'물리학 > 고전역학' 카테고리의 다른 글
| [물리학-고전역학] 중력장과 중력선속 | Gravitational Field and Flux (0) | 2023.11.03 |
|---|---|
| [물리학-고전역학] 중력장 운동 - 포물체 운동 | Projectile Motion (0) | 2023.11.01 |
| [물리학-고전역학] 선적분 | Line Integral (0) | 2023.10.24 |
| [물리학-고전역학] 다변수 함수와 편미분 | Multivariable Functions and Partial Derivatives (0) | 2023.10.24 |
| 벡터와 좌표계 | Vectors and Coordinate Systems (0) | 2022.07.01 |
