Herald-Lab
[물리학-고전역학] 중력장 운동 - 포물체 운동 | Projectile Motion 본문


포물체 운동(projectile motion): 지표면을 경계로 비스듬히 위로 던진 물체[그림 2]의 운동으로 포물선(포물궤도, trajectory)[그림 1]을 이루는 것이 특징이다.

- 공기의 저항을 무시한다면 마찬가지로 중력에 의해서만 영향을 받는 독특한 운동이다.
- 포물선은 2차원의 평면에 나타나는 기하학적 모양이므로, 성분 또한 x축과 y축으로 나뉠 수 있다.
- 수평방향: 등속도 운동
- 수직방향: 연직상방 운동
[고전역학_중력장 운동 - 연직상방운동, 연직하방운동]에서 배운 연직상방운동의 운동학 식을 사용할 것이다.

[물리학-고전역학] 중력장 운동 - 연직상방운동, 연직하방운동 | Vertical Upward, Vertical Downward Motion
중력장 운동이란,'중력'만이 물체의 운동에 영향을 주는 대표적인 고전역학 영역으로 [고전역학_자유낙하물체]에서 배운 자유낙하가속도(중력가속도)와 운동학 식을 다시 활용한다. 자유낙
herald-lab.tistory.com
포물체 운동의 분석
포물체 운동을 분석함에 있어 아래 다섯 가지 요소[그림 3]는 반드시 집고 넘어가야 한다.
- 초속도 v_i
- 가속도 a
- 힘 F
- 최고점 도달시 t
- 거리: 최고높이(y-) h와 최대수평도달거리(x-) R

포물체 운동 가정
- 자유낙하 가속도(중력가속도)는 높이와 관계없이 항상 일정하고 방향은 아래를 향한다.
- 공기저항을 무시한다. cf. 포물선을 그리는 물체가 매우 빠른 속력으로 이동한다면 공기의 유체저항도 고려해야 한다. ⇒ 인공위성의 예측 궤도 계산에 주요 어려움으로 작용
포물체 운동 분석
- 수평방향

2. 수직방향

포물체 운동을 하는 물체의 최대수평도달거리와 최대 연직 높이
t_i =0일 때, 포물체를 v_y, i 성분 방향으로 쏘아 올리는 상황을 떠올려 보자.
- 만약 포물체가 t시간이 지난 이후 최고점 h에 도달한다면, 이후 방해 요소가 없는 한은 포물체를 처음 쏘아올린 수평면 높이로 되돌아오는 데 정확히 2t만큼의 시간이 걸린다.
- 포물체의 운동에서 특별히 관심을 두는 위치는 다음과 같다.
- 최고점: 포물체가 가지는 최대 연직방향위치로 좌표는 (R/2, h)이다.
- 최종점: 포물체가 가지는 최대 수평방향위치로 좌표는 (R, h=0)이다.
- 포물체 운동에서의 물리량과 그 특징
- 최대수평도달거리 R: 포물체가 수평방향으로 나가간 최대거리로 그 크기는 기호 R로 표현한다.
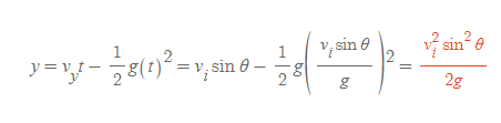
- 최대높이 h: 포물체가 연직방향으로 올라간 최대높이로 최고점에서는 v_y = 0을 만족한다. 따라서 아래와 같은 식을 세울 수 있다.

3. 최대높이(최고점) 도달시(time at which the projectile reaches peaks): 포물체가 최대높이에 도달하는 데 걸린 시간으로 최대높이의 수식 조건으로부터 쉽게 유도할 수 있다.
최대높이 도달시

■
최대 높이
최대높이 도달시를 대입해 최대높이를 계산할 수 있다.

q.e.d.
최대높이

■
최대수평도달거리
[1] 포물체가 수평도달거리에 도달하기 위해선 최대높이 도달시의 2배가 되는 시간이 필요하다.

[2] 포물체의 수평도달거리는 성분을 이용하고 식을 활용한다.

q.e.d.
최대수평도달거리

■
- sin값은 90도일 때 1이라는 최댓값을 가지기 때문에, 포물체가 45도로 발사되었을 때 최대수평도달거리에 도달한다.
위의 두 가지 공식(최대높이, 최대수평도달거리)은 최대높이 도달시를 적용한다는 전제 하에 (1)x축에 대한 등속도 운동 v-t 그래프와 (2)y축에 대한 연직상방운동을 그림으로써 기하학적으로도 쉽게 유도할 수 있다.
- x축의 t에 최대높이 도달시의 식을 대입한다.

그림 4. 최대수평도달거리 R과 최대높이 h의 기하학적 모형: v-t 그래프를 활용하였다.

'물리학 > 고전역학' 카테고리의 다른 글
| [물리학-고전역학] 중력장에서의 가우스 법칙 | Gauss's Law for Gravity (0) | 2023.11.04 |
|---|---|
| [물리학-고전역학] 중력장과 중력선속 | Gravitational Field and Flux (0) | 2023.11.03 |
| [물리학-고전역학] 중력장 운동 - 연직상방운동, 연직하방운동 | Vertical Upward, Vertical Downward Motion (0) | 2023.10.31 |
| [물리학-고전역학] 선적분 | Line Integral (0) | 2023.10.24 |
| [물리학-고전역학] 다변수 함수와 편미분 | Multivariable Functions and Partial Derivatives (0) | 2023.10.24 |
