Herald-Lab
【물리학 - 고전역학】 24. 운동에너지 본문

운동에너지(運動 에너지, kinetic energy): 운동하고 있는 물체가 갖는 에너지
- 정지한 물체를 가속시킬 때 필요한 '일의 양'으로 속도의 크기가 변하지 않는 한 그 운동에너지는 계속 유지된다.
- 어떤 물체가 갖는 운동에너지는 그 물체 시스템의 질량과 속력에 의해 결정된다.
- 일이란 환경에 의해 계에 주는 효과이고, 그것은 에너지를 역학적으로 전달하는 형태로 나타난다.
일-운동에너지 정리
Work-Kinetic Energy Theorem
뉴턴의 운동 제2법칙에 따르면, 입자에 작용하는 모든 힘의 합은 입자의 운동량 변화율을 결정한다. 따라서 입자에 작용한 힘들이 한 순일(net work)을 계산하여, 운동에 어떤 영향을 미치는 지 알 수 있다.
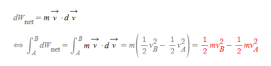
[1] 아주 작은 변위 dr동안에 한 순일

[2] 벡터 F는 알짜힘으로 공식 ma=m(dv/dt)와 같다.

[3] 과정 [2]의 dr 다시 쓰기

[4] 과정 [3]의 빨간 수식은 순일 dW_net과 같으며 전체 (순)일은 물체가 최초로 이동한 A에서 마지막 지점인 B까지로 적분하면 된다.

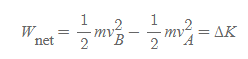
일-운동에너지 정리

■
<물리량>
- m: 물체의 질량
- v: 물체의 '속력'
- K: 운동에너지 (mv^2)/2
<의미>
알짜 힘이 질량 m인 입자에 한 일은 나중 운동에너지에서 처음 운동에너지 값을 뺀 값과 같다.
[5] 적분한 두 지점에 대해 만약 A 지점에서 속력이 0이었다면, 아래 운동에너지 식을 일반화할 수 있다.
운동에너지

■
<의미>
운동에너지는 입자의 운동과 관련된 에너지, 단위는 [J](줄, Joule)이며 일과 마찬가지로 스칼라량이다.
일-운동에너지 정리의 의미
일-운동에너지 정리는 어떤 계에 일이 가해지고 계의 유일한 변화가 속력이라면, 알짜힘이 계에 한 일은 계의 운동에너지 변화와 같다[그림 1]는 것을 뜻한다.
알짜일 W_net의 부호는 양수 또는 음수가 될 수 있다.
- (+): 계의 속력은 증가한다.
- (-): 계의 속력은 감소한다.

질량이 일정한 물체의 일-운동에너지 정리에서 ΔK는 처음과 나중 위치에서의 속력에만 의존할 뿐, 두 점 사이의 구체적 경로(path)에서 발생한 속력과는 무관하다.
운동에너지의 해석

운동에너지는 스칼라량으로 수식에 근거하여 크게 3가지 경우를 비교할 수 있다.
- 질량 m인 물체 1, 2가 v만큼의 속력으로 서로 다른 방향을 향하더라도 두 물체의 운동에너지는 서로 갖다.
- 질량 m인 물체가 v만큼 속력으로 갈 때 운동에너지 K_1보다 질량 2m인 물체가 v만큼 속력으로 갈 때 운동에너지 K_2가 '2배' 더 큰 운동에너지를 갖는다.
- 질량 m인 물체가 v만큼 속력으로 갈 때 운동에너지 K_1보다 질량 m인 물체가 2v만큼 속력으로 갈 때 운동에너지 K_2가 '4배' 더 큰 운동에너지를 갖는다. (3v이면 9배)
'물리학 > 고전역학' 카테고리의 다른 글
| 【물리학 - 고전역학】 26. 강체와 회전 (0) | 2025.09.12 |
|---|---|
| 【물리학 - 고전역학】 25. 퍼텐셜에너지 (0) | 2025.08.25 |
| 【물리학 - 고전역학】 23. 용수철 (0) | 2025.07.26 |
| 【물리학 - 고전역학】 22. 일: 일과 에너지 (0) | 2025.07.13 |
| 【물리학 - 고전역학】 21. 일: 계와 환경 (0) | 2025.07.08 |
