Herald-Lab
【수리심리학】 01. 베버의 법칙 본문

수리심리학이란 무엇인가
What is Mathematical Psychology?
수리심리학(數理心理學, mathematical psychology): 계산심리학 또는 계량심리학으로도 불림. 심리학 연구의 한 가지 접근 방법으로 수학적 모델링을 인간의 지각, 사고 과정, 인지 능력 등에 적용하는 심리학의 분과
- 수학적 모델링(mathematical modeling): 수학적 개념과 언어를 사용하여, 어떠한 현실 세계의 시스템(계, system)을 서술하는 과정, 수학적 모델링의 결과물은 수학적 모델이라 한다.
- 정량화가 가능한 자극의 특성(e.g., 빛의 밝기, 무게 등)을 통하여 행동 또한 수학적 모델링이 가능하다고 봄
- 심리학의 내용 중 수학적 접근이 가능한 분야는 크게 다섯 가지이다.
- 지각(perception): 정신물리학적 접근
- 학습과 기억
- 선택과 의사결정
- 언어
- 측정과 척도화(scaling)
수리심리학은 사람의 행동을 과학적으로 규명하는 데 있어, 정량화가 가능한 지각을 이해하는 것에서 출발한다.
|
감각 Vs. 지각
심리학에서 감각(感覺, sensation)과 지각(知覺, perception)은 매우 구분되는 개념이다. 우선 감각이란, 외부의 물리적-화학적 자극이 수용기(receptor)를 통해 감각기관에 도달하여 신경 신호로 변화되는 과정까지를 일컫는다. 한편 지각은 이 감각 신호를 뇌가 해석 및 조직화하여 '의미 있는 주관적 경험'으로 생성하는 과정을 뜻한다.
예를 들어 어두운 곳에 밝게 빛나는 양초 불빛이 있다고 하자. 인간의 감각은 그 양초 불빛의 (빛)파장이 안구 내의 빛수용기를 거쳐 신경 신호로 변환되는 순간까지의 과정을 의미한다. 한편 인간의 지각은 양초 불빛에 의해 '그 공간이 다른 곳보다 상대적으로 밝다'는 주관적인 해석을 할 수 있게 하는 요인이 된다.
|
베버의 법칙
Weber's Law

제한된 시간 동안 종이에 찍힌 점의 개수의 파악하는 과제를 주었을 때를 상상해보자. [그림 1]과 같이 한 종이에는 10개의 점이 찍혀 있고 다른 종이에는 20개의 점이 찍혀 있다. 이때 우리는 제한된 시간 동안 +10개의 차이를 쉽게 인식할 수 있다. 그러나 100개의 점이 찍힌 종이와 110개의 점이 찍힌 종이를 각각 제한된 시간 동안 보여줬을 때는 대부분 사람은 그 차이를 거의 느끼지 못한다.

독일의 내과의사이자 생리학자였던 에른스트 하인리히 베버(Ernst Heinrich Weber, 1795-1878)는 인간의 지각에서 차이를 느끼게 하는 요인으로 자극의 절대적 변화량이 아닌 상대적 변화량(relative change)을 지목했다. 즉, 베버는 앞선 예시의 +10개라는 절대적 변화량이 아닌, 10개에서 20개로 수가 증가했을 때의 100% 증가치와 100개에서 110개로 수가 증가했을 때의 10% 증가치(상대적 변화량)가 인간 지각에서 차이를 느끼게 한다고 보았다.
비교가 되는 것들의 차이를 관찰할 때, 우리는 그들간의 절대적 차이가 아닌, 차이에 따르는 비율을 지각한다.
- 에른스트 H. 베버In observing the disparity between things that are compared, we perceive not the difference between the things, but the ratio of this difference to the magnitude of things compared.
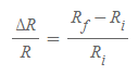
인간은 차이를 식별하기 위한 근거로 자극의 상대적 변화량을 활용하고, 이를 수식으로 나타내면 아래와 같다.

<물리량>
- ΔR: 자극의 변화량
- R_i: 초기 자극량
- R_f: 나중 자극량
독일어로 자극은 'Reiz'이고 이것의 앞글자를 따, 자극량을 R로 작성하였다. 앞선 예시를 활용하면 10개에서 20개로 점의 개수가 증가하면 자극의 상대적 변화량은 다음과 같이 계산한다.

위의 식에서 절댓값 기호를 포함한 이유는 자극의 상대적 변화량은 항상 양수 값만이 의미를 갖기 때문이다. 단, 절댓값 기호를 제외하고 대신 상대적 변화량에 임의의 기호 k를 부여한 다음 k>0의 조건을 걸어도 된다.
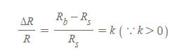
베버의 법칙

■
<물리량>
- R_b: 두 개의 비교하려는 자극량 중 큰 값
- R_s: 두 개의 비교하려는 자극량 중 작은 값
- k: 베버 분율(베버 비율, Weber's fraction)

[그림 2]와 같이 무게가 10kg인 가방을 메고 있을 때, 누군가가 1kg인 백과사전을 가방 안에 넣었다고 가정하자. 이때 k는 아래와 같이 쉽게 구할 수 있을 것이다.

kg단위는 분수 계산에서 소거된다.
- Weber's fraction은 무차원의 값이다.

베버의 법칙에서 k는 특정한 수로 계산되는데, 이를 베버 분율(Weber fraction)이라고 한다. 그리고 계산된 k값이 [표 1]에서 주어진 최소값을 초과할 때 인간은 감각의 차이를 인지하게 된다. k의 최소값은 곧 인간의 감각기관에서 자극의 차이를 감지할 수 있는 역치(threshold)로, 여러 실험을 통해 현재는 감각의 종류(무게, 밝기, 소리 크기 등)에 따라 서로 다른 값이 부여되어 있다.

들어올린 물체의 무게 변화를 감지하는 최소값 k는 [표 1]에 따르면 약 0.02로 계산된다. 만약 80g짜리 치토스를 무게가 10kg인 가방에 넣으면 베버의 법칙은 다음과 같이 계산된다.

여기서 0.008은 확실히 0.02보다 작은 수로 이는 사람이 무게의 변화를 지각할 수 없음을 뜻한다.
소수점으로 표현한 베버 분율의 또 다른 최소값(Teghtsoonian(1971))은 다음과 같다.
- 전기충격: 0.01
- 무게 감지: 0.02-0.05
- 소리 세기: 0.04
- 빛 세기: 0.08
- 짠 맛: 0.08
인스타그램 영문 포스팅:
https://www.instagram.com/p/DTmBQEmEtYN/?utm_source=ig_web_button_share_sheet&igsh=MzRlODBiNWFlZA==
'심리학' 카테고리의 다른 글
| 【수리심리학】 03. 노력의 배신? 연습의 멱법칙(Power Law) <PART 1> (0) | 2026.01.25 |
|---|---|
| 【수리심리학】 02. 인간의 주관적 지각: 페히너의 법칙 (0) | 2026.01.21 |
| 【Artificial Intelligence / 인공지능학】 인공신경망의 기초 (0) | 2021.11.06 |
| 상관분석, 회귀분석, 선형회귀 (0) | 2021.11.06 |
| 인공지능에 관하여 (0) | 2021.11.06 |
