Herald-Lab
【물리학 - 고전역학】 30. 중력장에서의 운동: 연직방향 본문

만약 2차원 상에서의 운동이 주어진 경우, 이 운동은 각각 x방향과 y방향으로 나뉜 독립된 운동들로 기술될 수 있다. 즉, 각 축의 방향은 서로 독립되게 존재하며, 이는 x축의 운동 변화에 주는 요인이 y축의 운동 변화에는 영향을 주지 않음을 의미한다.
자유 낙하
Free Fall

이탈리아의 천문학자 갈릴레이(Galileo Galilei, 1564-1642)는 자신이 고안한 실험[그림 1]을 통해 공기의 저항이 없는 조건에서 지표면 부근의 모든 물체는 질량과 관계없이 동등한 중력가속도를 갖는다고 생각했다. 지구의 중력에 의해 물체는 일정한 높이에서 중력가속도라는 등가속도를 가지며, 중력가속도의 방향은 항상 지구 중심부를 향한다.
데이비드 스콧의 실험

미국의 공학자이자 우주비행사였던 데이비드 스콧(David Scott, 1932-)은 1971년 8월 2일 아폴로 15호의 임무로 중력에 관한 변형된 실험을 아래와 같이 진행하였다.
- 달에서의 망치-깃털 실험(drop experiment)[그림 2]: 달에는 대기가 거의 없기 때문에 깃털을 떨어뜨려도 움직임에 저항할 요소가 없었다. 따라서 갈릴레이의 예상과 같이 깃털은 망치와 동시에 달 표면에 도달하였다.

자유낙하물체
자유낙하(free fall): 공기 저항이 부재한 조건에서 지표면으로 떨어지는 물체의 가속도 운동
- 자유낙하 가속도: 벡터 g로 표현하며, 지표면을 기준으로 방향은 지구 중심부를 향한다. 벡터 g의 크기는 고도가 높아짐에 따라 감소하며, 질량분포에 기인하기 때문에, 위도에 따라서도 크기가 약간씩 달라진다.
- 중력가속도의 일반적인 크기는 9.8[m/s^2]으로 근사한다.

자유낙하물체: 처음의 운동 상태와는 무관하게 중력만의 영향 아래 자유롭게 움직이는 물체로 그 움직임은 크게 3가지로 나뉜다.
- 연직상방운동: 처음 위치로부터 위로 던진 물체의 운동
- 연직하방운동: 처음 위치로부터 아래로 던진 물체의 운동
- 포물선 운동: [그림 3]과 같이 포물선을 그리는 운동

연직상방운동
Vertical Upward Motion under Gravity
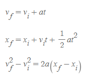
자유낙하물체의 운동을 분석하기 위해 직선을 따라 일정한 가속도 a로 움직이는 물체의 운동학 식(kinematics equation)이 필요하다.

<물리량>
- v_i: 초기 속도
- v_f: 나중 속도
- a: 가속도
- t: 시간
- x_i: 초기 이동거리
- x_f: 나중 이동거리
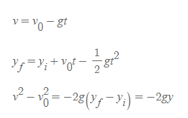
자유낙하는 (1)y축을 기준으로 발생하고 (2)중력가속도 g에 의해 지배받기 때문에, x항은 y로, a는 g로 각 항을 바꾼다.


[그림 4]와 같이 물체를 위로 던졌을 때, 원점 O를 기준으로 위쪽을 (+)방향으로 잡는다. 그러면 처음 속도 v_0는 (+)의 값을 갖고, 중력가속도 g는 (-)의 값을 갖는다.

위의 두 조건을 운동학 식에 대입한다.

최고점 도달시간과 최고점 높이
연직상방운동의 경우, 최고점이 존재하고 이때의 도달시간과 높이가 존재한다. 최고점에서의 물리적 특성은 도달 지점에서의 속도가 0이라는 점인데, 이것을 운동학 식에 대입하면 두 물리량을 쉽게 구할 수 있다.

연직상방운동 최고점 도달시

■
연직상방운동 최고점 높이

■

연직상방운동을 v-t 그래프[그림 5]로 나타내면 최고점을 기준으로 기울기는 음수이고, y절편은 양수인데, 일차함수 식에 대입하면 아래와 같이 식을 정리할 수 있다.
연직상방운동 최고점 도달시

연직상방운동 최고점 높이

연직하방운동
Vertical Downward Motion under Gravity

[그림 6]와 같이 물체를 아래로 던졌을 때, 원점 O를 기준으로 아래쪽을 (+)방향으로 잡는다. 그러면 처음 속도 v_0는 (+)의 값을 갖고, 중력가속도 g또한 (+)의 값을 갖는다.

위 두 조건을 운동학 식에 대입한다.


연직 아래로 던진 물체의 운동의 그래프는 [그림 7]과 같이 나타낸다.
'물리학 > 고전역학' 카테고리의 다른 글
| 【물리학 - 고전역학】 31. 중력장에서의 운동: 수평으로 던진 물체 (0) | 2026.01.11 |
|---|---|
| 【물리학 - 고전역학】 29. 보존력 (0) | 2025.10.26 |
| 【물리학 - 고전역학】 28. 질량 중심 (0) | 2025.09.14 |
| 【물리학 - 고전역학】 27. 각속도와 각가속도 (0) | 2025.09.13 |
| 【물리학 - 고전역학】 26. 강체와 회전 (0) | 2025.09.12 |