Herald-Lab
【물리학 - 고전역학】 31. 중력장에서의 운동: 수평으로 던진 물체 본문

수직운동의 독립성
Independence of Perpendicular Motion

앞선 챕터에서 2차원의 운동은 x, y방향으로 서로의 방향 운동에는 전혀 영향을 주지 않으며, 이 운동은 독립적인 운동의 합으로 기술할 수 있다고 했다.
운동학적으로 운동을 기술할 때, 수평성분과 수직성분은 서로 분리하여 다룰 수 있다. 수평 방향의 운동은 수직 방향의 운동에 영향을 주지 않고, 반대로도 마찬가지이다.
We are able to treat the horizontal and vertical components of motion separately in the kinematic description of motion. Motion in the horizontal direction does not affect motion in the vertical direction, and vice versa.
운동의 독립성
[그림 1]과 같이 중력장 아래 수평방향으로 던진 공(파랑)의 운동은 (1)등속도 운동인 수평방향과 (2)자유낙하 운동인 연직 방향으로 나누어 기술할 수 있다.

수평으로 던진 물체 또한 운동학 식을 통해 (1)먼저 두 개의 운동 유형을 각각 분석하고, (2)이후 공통적인 항(요소)을 통해 종합하여 아래와 같은 물리량들을 유도한다.
- t초 후의 속도와 변위
- 지면도달 시간: 수평으로 던진 물체가 지면에 도달하는 데 걸리는 시간
- 수평도달 거리: 수평으로 던진 물체가 x축에 대해 나아간 거리
- 지면도달 속도: 물체가 지면에 도달하는 순간의 속도(크기와 방향)
수평으로 던진 물체
Motion with an Initial Horizontal Velocity under Gravity
운동 유형 분석
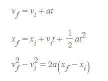
등가속도 a를 갖는 x축을 따라 움직이는 물체의 운동학 식(kinematics equation)은 아래 3개 공식의 지배를 받는다.

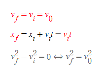
수평으로 던진 물체는 x축 성분에 대해 등속도 운동을 하기 때문에 a=0일 것이다.

- 수평으로 던진 물체의 초기 이동거리 x_i는 0이다.
다음 수평으로 던진 물체가 수직으로 떨어지는 이유는 중력 가속도 g 때문이다. 자유낙하는 (1)y축을 기준으로 발생하고, (2)중력가속도 g에 의해서만 지배 받기 때문에, x는 y로, a는 g로 각 항을 바꾼다.

- 자유낙하 운동의 초기 속도 v_i는 0이고, 원점으로부터 떨어지기 때문에 초기 이동거리 y_i 또한 0이다.
- 물체가 중력에 의해 아래로 자연스럽게 떨어질 때, 원점 O을 기준으로 아래쪽을 (+)방향으로 잡는다.

공통의 항 T
만약 물체를 H의 높이에서 수평 방향으로 던졌을 때, 연직 방향의 운동은 오로지 중력에 의해서만 영향을 받고 물체가 지면에 도달하는 데까지 걸리는 시간 T는 자유낙하에 걸린 시간과 같다.

- 시간 t는 물체가 H만큼 떨어졌을 때 걸린 시간으로 지면도달 시간과 같으며, 음의 시간은 없기 때문에 양의 시간만 고려한다.
지면도달 시간

■
지면도달 시간은 물체가 지면에 도달하여 운동을 종료한 시점에서의 모든 운동에 대입 가능하다. 따라서 등속도로 운동하는 수평 방향[그림 2]의 특정 값에 지면도달 시간 T항을 대입할 수 있다.
수평 이동거리인 x_f의 공식에 T항을 대입해보자.

<물리량>
- R: 수평도달 거리
- H: 수평방향으로 던졌을 때 물체가 놓여진 곳의 높이
- g: 중력 가속도
- v_0: x축 방향 초기 속도
수평도달 거리

■
지면에 도달하기까지
수평 방향으로 던진 물체가 지면으로 도달하기까지 물체의 속도는 [그림 2]와 같이 수시로 합성된다.
- 속도는 벡터량으로 벡터합이 가능하다.

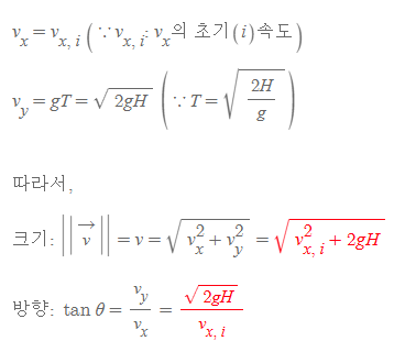
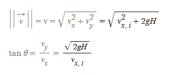
지면도달 속도

■
'물리학 > 고전역학' 카테고리의 다른 글
| 【물리학 - 고전역학】 30. 중력장에서의 운동: 연직방향 (0) | 2026.01.10 |
|---|---|
| 【물리학 - 고전역학】 29. 보존력 (0) | 2025.10.26 |
| 【물리학 - 고전역학】 28. 질량 중심 (0) | 2025.09.14 |
| 【물리학 - 고전역학】 27. 각속도와 각가속도 (0) | 2025.09.13 |
| 【물리학 - 고전역학】 26. 강체와 회전 (0) | 2025.09.12 |
