Herald-Lab
【미분적분학 노트】 07. 미분법: 다항함수의 도함수 본문

미분법 중 다항함수의 도함수를 구하는 것은 미적분학에서 가장 기본적이면서도 자연과학 분야에서도 매우 널리 사용된다.
다항함수에 관하여

이전 챕터 【02. 선형함수와 기울기】에서 우리는 실제 세계의 함수 4가지 유형에 대해 살펴보았다.
- 선형함수
- 다항함수
- 거듭제곱 함수
- 이산함수
[그림 1]의 초록색 대각 '직선'은 선형으로 나타나는 1차함수이다. 나머지 그래프는 직선이 아닌 일종의 '곡선'형태로 나타나는 데, 이들은 다항식(多項式, polynomial)으로 표현된 함수 그래프의 주요한 특징이다.
다항함수는 아래와 같은 일반적인 형태를 갖는 함수를 뜻한다.

<기호>
- a_n, a_n-1, ..., a_0: 상수
- n: 0 이상의 정수
위의 다항함수에 숫자가 포함되면 흔히 아래와 같은 꼴을 갖는데,

3x+2는 1차함수, 2x^2 이하는 2차함수, x^3 이하는 3차함수에 속한다.
상수함수의 도함수
Constant Rule
다항함수 중 x^n의 n 자리에 모두 0이 들어갔을 때, 상수 a_0만 남는데 이를 상수함수(constant function)라 한다. 상수함는 가장 간단한 함수이다.
상수를 뜻하는 영어 constant의 c를 따와 f(x)=c라고도 자주 표현한다.

- 그래프 상에서 상수함수[그림 2]는 직선으로 나타난다.
- 직선으로 나타난 상수함수의 그래프는 서로 닮음이며 합동이다.
f(x)=c를 derivative를 구하는 식에 대입하면 상수함수의 도함수를 구할 수 있다.

상수함수의 도함수

■
- d/dx는 미분연산자로 뒤에 나타난 함수를 미분한다는 뜻이다.
거듭제곱 법칙: 거듭제곱 함수의 도함수 구하기
Power Rule

함수 f(x)=x^n의 n이 3일 때, [그림 3]과 같이 그래프가 그려지고, 이는 거듭제곱 함수에 속한다. 그리고 이런 거듭제곱 함수의 도함수를 구하는 방법이 거듭제곱 법칙(power rule)이다.
PROOF. n이 양수일 때, 거듭제곱 법칙
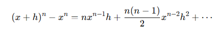
[1] derivative를 구하는 식에 함수 f(x)=x^n의 일반식을 대입하면 우선 다음과 같다.

[2] 이항정리 사용
- 이항정리(binomial theorem): (a+b)^n의 꼴(단 n은 음이 아닌 정수)을 전개할 때 일반식
(x+h)^n 또한 이항정리의 일반꼴과 같기 때문에 이 정리를 사용할 수 있다.

위 식에서 x^n을 좌변으로 넘기면,

이 되는데, 여기서 (x+h)^n-x^n은 f'(x)의 분자와 정확히 일치한다.
[3] h로 나누기

[4] 극한 계산
lim_h→0을 [과정 3]의 우변 식에 대입하면 h가 포함된 항은 모두 0이 되고 오직 nx^n-1만 남게 된다.

n이 양수일 때, 거듭제곱함수의 도함수

■
음의 정수를 지수로 갖는 거듭제곱의 도함수도 역시 거듭제곱의 법칙(power rule)이 성립하는데 증명은 아래와 같다.
PROOF. n이 음수일 때, 거듭제곱 법칙
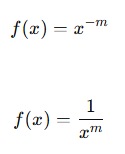
[1] 만약 n이 음수일 때 n=-m이라 가정하면, f(x)=x^-m은 다음과 같이 쓸 수 있다.

중요한 점은 m 자체는 m>0이라는 사실이다.
[2] 항등식 사용

지수법칙을 활용해 위와 같은 항등식이 성립함을 쉽게 알 수 있는데, 여기서 f(x)와 g(x)를 다음과 같이 설정한다.

[3] 곱미분(product rule)을 사용한다. 참고로 곱미분이란, 두 실함수 f(x)와 g(x)의 곱을 가진 형태의 함수 f(x)g(x)의 도함수를 구하는 공식이다.

- 위 식의 의미는 첫 번째 함수 f, 두 번째 함수 g의 합성함수를 미분한 결과는 (f 미분)×g+f×(g 미분) 값과 같다는 뜻이다.
[4] [과정 2]의 양변 미분

특히 d(1)/dx의 결과는 상수함수의 도함수 결과와 같이 0으로 계산된다.
[5] [과정 2]의 좌변 미분

먼저 f'(f 미분)은 다음과 같이 계산된다.

다음 g'(g 미분)은 다음과 같이 적을 수 있다.

위의 항은 우리가 구하고자 하는 n이 음수일 때 거듭제곱 법칙과 정확히 같으므로, 전체 식을 정리함으로써 g'(x)를 구할 수 있다.
[6] 전체 식 정리

[과정 4]와 [과정 5]의 결과를 조합하여 전체 식을 위와 같이 정리할 수 있다. 그리고 첫 번째 항은 다음과 같이 계산된다.

이를 정리하면,

이다.
[7] g'(x) 구하기
위의 식으로부터 g'(x)를 구하기 위해 첫 번째 항을 우변으로 넘기고 양변을 x^m으로 나눈다.

g'(x)는 d(x^-m)/dx로 음의 정수를 지수로 갖는 거듭제곱의 도함수와 일치한다.

n=-m(음수)일 때, 거듭제곱함수의 도함수

■
n이 양수일 때와 음수일 때를 모두 포함한 일반적인 형태를 거듭제곱 법칙이라 하며 이는 다음과 같이 정리한다.
거듭제곱 법칙

■
'미분적분학 노트 > 개념' 카테고리의 다른 글
| 【미분적분학 노트】 06. 적용: 운동직후 심박수 회복과 사망률의 관계 (0) | 2026.03.29 |
|---|---|
| 【미분적분학 노트】 05. 도함수 찾기 (feat. 이전 개념 복습) (0) | 2026.03.27 |
| 【미분적분학 노트】 04. 함수의 극한 (feat. 구간축소법과 미분) (0) | 2026.03.25 |
| 【미분적분학 노트】 03. 접선과 순간변화율 (0) | 2026.03.23 |
| 【미분적분학 노트】 02. 선형함수와 기울기 (feat. 킬링(Keeling) 곡선) (0) | 2026.03.21 |
