Herald-Lab
【2022 물리학 | 고전역학】 일차원 상에서의 운동 1 본문

물리학에서 배우는 첫 번째 학습내용은 운동학(kinematics)으로, 변화하는 세계에 움직이는 물체를 표현하고, 이 물체가 앞으로 어떻게 움직일 지를 예측하는 데 필수적이다. 물체의 운동을 이해하기 위해 우리는 운동의 원인에 상관없이, 먼저 시간과 공간의 개념을 활용해 운동을 기술하는 법을 익힐 것이다.
- 동역학(dynamics): 물체의 운동과 작용한 힘(외력)과의 관계를 다루는 고전역학의 한 분야
① 운동학(kinematics): 힘의 작용은 고려하지 않은 채, 단순히 물체 운동의 수학적 표현만을 다룸
② 운동역학(kinetics): 운동을 발생시키는 힘과 연관 지어 물체의 운동을 물리 법칙을 적용하여, 수학적으로 표현함
- 동역학은 물체의 종류에 따라 강체동역학(rigid body dynamics), 연체동역학(soft body dynamics), 유체동역학(fluid dynamics) 등으로 분류된다.
입자모형(particle model): (점)입자(point particle)란, 점과 같이 더 이상 물리적인 변형을 가할 수 없다고 가정한 물체로 질량만 존재할 뿐 크기(size)와 부피(volume)가 존재하지 않는다.
위치, 속력, 그리고 속도
입자의 위치(position) x는 좌표계에서 원점이라 생각해 선택한 기준점(x=0)에 대한 입자의 위치이다.
- 시간에 따른 입자의 공간 위치를 알면 입자의 운동을 기술할 수 있다.
To describe the motion of an object, you must first be able to describe its position x, where it is at any particular time.


변위의 특징
① 변위는 방향을 고려해야 하는 벡터양(vector quantity)이다.
② 벡터양으로서 변위의 부호는 다음과 같이 정의한다.
⑴ (일반적으로) 오른쪽으로 움직이는 물체는 Δx>0이다. ⇒ 양수 부호
⑵ 같은 논리로 왼쪽으로 움직이는 물체는 Δx<0이다. ⇒ 음수 부호
이동거리(distance travelled, d): 이동방향과 상관없이 입자가 이동한 총 경로의 길이를 의미한다.
- 이동거리는 크기(magnitude)만 가진 스칼라량(scalar quantity)이다.
- 입자가 이동한 총 이동거리로 값의 크기는 변위보다 크거나 또는 같다. ⇒ d≥Δx: 이동거리와 변위의 크기 비교

- 정의: 변위를 변위가 일어난 시간 간격으로 나눈 값으로 벡터양으로 분류된다.
- 단위: [m/s]
위치-시간 그래프(x-t graph)에서의 평균속도는 높이는 Δx이고 밑변은 Δt인 직각삼각형의 빗변(직선기울기(slope)의 비)으로 표현된다.


- 정의: 전체 이동거리(d_travel) 나누기 이동하는 데 총 걸린 시간
- 단위: [m/s]
- 평균속력은 평균속도의 스칼라량이다.
순간속력과 순간속도
순간속도 v_x는 시간간격이 0으로 한없이 접근(근접; approach to Δt→0)할 때 평균속도의 극한 값이다.

일반적으로 속도는 순간속도(v)를 의미한다.

순간속력은 순간속도의 스칼라량이다.
※ x-t Graph
① graph의 세로축은 이동한 거리를 가로축에는 경과한 시간을 나타낸다.
② 기울기(slope): 높이/밑변[m/m로 무단위]으로 계산하며, 수학적으로는 tanθ이다.
③ 접선(tangent line): 도형의 변곡점에 접한 직선으로 원에 접선을 그으면 원의 중심에서 이은 중심선과 항상 수직을 이룬다.

④ (1)그래프의 두 점을 이은 직선기울기는 평균속력을 (2)어느 한 점에서의 접선의 기울기는 순간속력을 나타낸다.

⑤ 변위-시간 그래프
- 변위는 벡터양이고, 변위-시간 그래프의 기울기는 벡터양인 속도이다.
- 직선으로 운동하는 물체의 속도 값이 (-)가 되면, 처음 운동하는 방향과 반대 방향이 됨을 의미한다.
일정한 속도에서의 운동 Motion at Constant Velocity

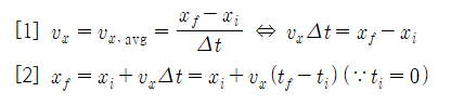
PROOF. 등속 운동을 하는 입자의 최종 위치

일반적으로 처음 위치에 놓인 물체에 주어진 시간 t_i는 0s(second, 초)로 취급한다.
■
입자의 속도가 일정하면, 시간 내의 어떠한 순간에서의 순간속도는 이 구간에서의 평균속도와 같다.
'물리학 > 고전역학' 카테고리의 다른 글
| [물리학-고전역학] 자유낙하물체 | Freely Falling Objects (0) | 2022.01.02 |
|---|---|
| 【2022 물리학 | 고전역학】 일차원 상에서의 운동 2 | 등가속도 운동 공식 유도 (0) | 2022.01.01 |
| [Mechanics] 유체저항력 | Resistive Forces (0) | 2020.05.17 |
| [Mechanics] 질량 시스템: 수직항력, 마찰력 | Normal Forces and Frictional Forces of Mass Systems (0) | 2020.05.17 |
| [Mechanics] 질량 시스템: 줄 연결, 접촉물체 | Types of Mass Systems (0) | 2020.05.17 |