Herald-Lab
[Mechanics] 질량 시스템: 수직항력, 마찰력 | Normal Forces and Frictional Forces of Mass Systems 본문
[Mechanics] 질량 시스템: 수직항력, 마찰력 | Normal Forces and Frictional Forces of Mass Systems
herald-lab 2020. 5. 17. 15:58
질량시스템에서 수직항력
쌓아놓은 물체에 대한 normal force의 계산의 가장 간단한 요령은 먼저 물체들에 작용하는 중력을 모두 표기한 뒤, 맨 꼭대기에서부터 물체에 대한 수직항력의 크기를 구하는 것이다.
[그림 1]과 같이 쌓인 mass system이 테이블 위에 멈춰있다고 하자.

그림 1
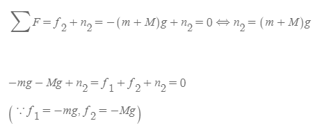
[1] 수직항력 n_1: 쌓여진 물체계의 질량 m에 걸린 중력에 반하는 수직항력

[2] 수직항력 n_2: 쌓여진 물체계의 전체 질량 m+M에 걸린 중력에 반하는 수직항력

여러가지 물체의 마찰력
1. 상대속도가 0인 가로배열

그림 2
[1] 각각의 접촉물체에 작용하는 마찰력의 크기는 질량에 비례한다.

[2] 접촉면의 수직항력: 질량 m인 물체가 M인 물체를 미는 만큼(작용), 같은 크기의 반대방향으로 반작용 힘이 수직항력으로서 작용한다.
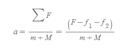
- 질량 시스템(m+M) 전체의 가속도 운동에서 수직항력은 내력으로 작용하기 때문에, system 전체의 가속도 공식의 힘 항에는 포함되지 않는다.

[3] 질량체는 가속도를 공유한다.

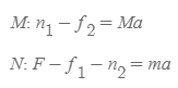
[3] m과 M의 운동방정식

2. 수평면 마찰 X, 상대속도가 0인 세로 배열

그림 3
[1] 수직항력

[2] 상대속도 0 = 두 물체가 하나처럼 움직인다. = 같은 가속도를 갖는다.

[3] 질량 m인 물체는 M인 물체를 오른쪽으로 민다.

(1) F_M: 질량 m인 물체가 M인 물체를 오른쪽으로 미는 힘(작용 힘)
(2) F_m: 질량 M인 물체가 m인 물체를 왼쪽으로 미는 힘(반작용 힘)
3. 수평면 마찰 X, 상대속도가 있는 세로 배열

그림 4
[1] 수직항력

[2] 두 물체 간의 상대속도는 운동마찰력으로부터 기인한다.

- f_1은 물체 M이 물체 m에 작용한 마찰력이다.
[3] f_2는 물체 m이 물체 M에 작용한 마찰력이다.
- 마찰력 f_2에 의해 물체 M이 움직인다.
[4] 각 물체의 운동방정식: 질량 시스템의 질량들은 서로 상대속도가 다르기 때문에 가속도를 공유하지 않는다.

운동방정식을 세울 때, 그 물체에 작용하는 모든 힘을 먼저 표기한 뒤, 방향을 고려해 부호를 결정한다.
- 접촉면에서의 수직항력 및 마찰력은 action-reaction pair를 이룬다.
#물리 #물리학 #대학물리학 #일반물리학 #역학 #마찰력 #마찰력문제 #수직항력 #수직항력문제 #질량계 #질량계에서마찰력 #질량계에서수직항력
'물리학 > 고전역학' 카테고리의 다른 글
| 【2022 물리학 | 고전역학】 일차원 상에서의 운동 1 (0) | 2022.01.01 |
|---|---|
| [Mechanics] 유체저항력 | Resistive Forces (0) | 2020.05.17 |
| [Mechanics] 질량 시스템: 줄 연결, 접촉물체 | Types of Mass Systems (0) | 2020.05.17 |
| [Mechanics] 장력 | Tension (0) | 2020.05.17 |
| [Mechanics] 운동마찰력의 분석 | Analysis of the Frictional Force (0) | 2020.05.17 |