Herald-Lab
【물리학을 위한 수학】 07. 벡터미적분학 - 다이버전스(Divergence) <PART 1> 본문

이전 챕터에서 스칼라장을 del operator를 활용해 gradient를 정의했다. 이번 챕터에서는 벡터장을 del operator를 활용해 곱해보려고 하는데, 벡터곱에는 두 가지 방법이 있다.
- 스칼라곱(점곱, scalar product, dot product)
- 벡터곱(가위곱, vector product, cross product)
스칼라곱과 벡터곱
Scalar Product and Vector Product
두 개의 벡터를 곱할 때는 두 가지 방법이 있고, 곱한 결과의 성질에 따라 (1)scalar product와 (2)vector product로 불린다.
스칼라곱
화살표 직선으로 표현된 두 개의 벡터를 가정할 때, 먼저 스칼라곱의 정의는 다음과 같다.

그림 1. 벡터 A에 대한 벡터 B의 사영(Acosθ)
스칼라곱: 벡터 A에 대한 벡터 B의 사영[그림 1]을 곱한 값으로 그 결과는 스칼라량이다.

그림 2. 스칼라곱에서 각도 θ
Scalar Product [그림 2]

■
<물리량>
- θ_AB: 벡터 A와 벡터 B 사이의 각
기하학적으로 점곱 AB는 벡터 A의 크기에 벡터 B의 벡터 A 방향성분 Bcosθ[그림 2]을 곱한 것과 같다.
- θ이 0도에서 90도 사이인 경우[그림 3] cosθ는 양수이고, 따라서 점곱은 양의 값을 갖는다.
- θ이 90도 인 경우 cos90=0이므로 점곱은 0이 된다. 수직인 두 벡터의 dot product는 언제나 0이다.
- θ이 90도 초과 값에서 180도 사이인 경우 cosθ는 음수이고, 따라서 점곱은 음의 값을 갖는다.


scalar product의 부호 성질을 활용해, 단위벡터[그림 4]의 관계를 다음과 같이 정리할 수 있다.

dot product는 또한 두 가지 성질을 만족한다.
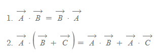
- 점곱은 교환법칙이 성립한다.
- 점곱은 분배법칙이 성립한다.

벡터곱
벡터곱: 벡터 A, B를 곱하는 방법으로 둘을 가위곱(cross product)하면 그 결과는 벡터량[그림 5]이다.

Vector Product [그림 5]

■
<물리량>
- θ_AB: 벡터 A와 벡터 B 사이의 각
- 단위벡터 a_n: 벡터 A와 벡터 B가 만든 평면에 수직인 단위벡터, 방향은 오른손 법칙[그림 6]으로 정한다.

cross product의 부호 성질을 활용해, 단위벡터의 관계를 다음과 같이 정리할 수 있다.

마지막으로 cross product는 두 가지 성질을 만족한다.
- 가위곱은 분배법칙이 성립한다.
- 가위곱은 '반교환법칙'이 성립한다.

다이버전스
Divergence
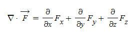
다이버전스는 어떤 계의 한 지점에서 벡터장이 퍼지는 지(발산) 또는 모여서 사라지는 지(수렴)를 보여주는 수학적 양(스칼라)으로, del operator에 벡터장을 scalar product한 것으로 정의한다.
Divergence

■
div F라고도 표현하며 의미는 델과 벡터장을 스칼라곱한 연산자이다.
- 두 벡터의 스칼라곱이 스칼라량인 것처럼 다이버전스 또한 스칼라량이다.
- 다이버전스를 구하는 연산은 항상 벡터장에 대해서만 작용한다. 즉, 다이버전스는 벡터장에서만 사용할 수 있다.
divergence의 식을 풀이하면 다음과 같다.

dot product의 분배법칙을 사용한 뒤, unit vector의 관계식을 적용하면 최종적으로 위의 붉은색 식이 유도된다.
Divergence(직교좌표계)

■
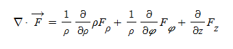
원통좌표계와 구좌표계의 Divergence
위에서 살펴본 divergence의 기본식은 직교좌표계에서 유효하다. 그러나 ∇값은 원통좌표계와 구 좌표계에서 아래와 같이 변한다.
- 원통좌표계 del operator

- 구좌표계 del operator

또한 두 좌표계에서 벡터 F 또한 직교좌표계에서와 같이 단순하지 않다.
원통좌표계 Divergence
우선 원통좌표계의 divergence를 구해보자. 원통좌표계의 벡터 F와 단위벡터에 대한 미분값은 다음과 같다.

이를 divergence 식에 대입하면 아래와 같이 최종 계산된다.

Divergence(원통좌표계)

■
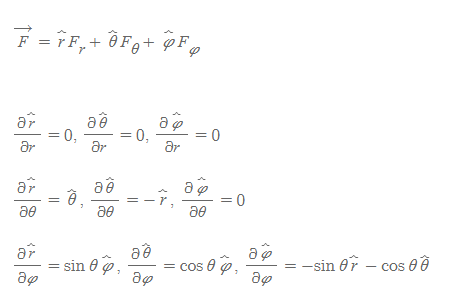
구좌표계 Divergence
다음 구좌표계의 divergence를 구하기 위해서, 아래 벡터 F와 단위벡터에 대한 미분값을 알아야 한다.

이를 divergence 식에 대입하면 아래와 같이 최종 계산된다.
Divergence(구좌표계)

■
'수학 > 물리학을 위한 수학' 카테고리의 다른 글
| 【물리학을 위한 수학】 09. 벡터미적분학 - 발산 정리 (0) | 2025.11.29 |
|---|---|
| 【물리학을 위한 수학】 08. 벡터미적분학 - 다이버전스(Divergence) <PART 2> (0) | 2025.11.25 |
| 【물리학을 위한 수학】 06. 벡터미적분학 - 그래디언트(Gradient) (0) | 2025.11.22 |
| 【물리학을 위한 수학】 05. 벡터미적분학 - 델(나블라) 연산자 (0) | 2025.11.21 |
| 【물리학을 위한 수학】 04. 좌표변환 - 3차원 좌표계 (0) | 2025.11.19 |
