Herald-Lab
【물리학을 위한 수학】 15. 적용: RC회로 (변수분리형 미분방정식) 본문

사전지식
- 전자기학 중 회로(circuit) 이론
- 키르히호프의 법칙
- RC 회로: 저항기(R)와 축전기(커패시터, 컨덴서, C)가 직렬로 연결된 회로
- 변수분리형 미분방정식의 풀이
RC회로: 충전과 방전
RC Circuit: Charging and Discharging
RC회로란, 회로 상 저항기(resistor)와 축전기(capacitor, condenser)가 직렬로 연결된 회로로 [그림 1]과 같은 구조를 갖는다.

축전기 충전

RC회로에서 축전기의 충전단계[그림 2]를 분석해보자.
- 스위치 A가 닫혔을 때, 전류 I가 흐르게 되는데, 이때 임의의 시계방향 이동 화살표(파란색)를 회로에 먼저 그린다. ⇒ 회로 소자를 분석하는 데 기준이 되는 화살표로 전류의 방향과 상관없이 임의로 그려도 된다.
- 전류 I는 전지에서의 기전력 ε에 의해 시계방향으로 이동한다.
저항 R과 축전기 C는 전지로부터 나오는 기전력을 소비하고 충전하는 형태로 이용(-)하기 떄문에, 키르히호프의 법칙을 적용하여 아래와 같이 식을 쓸 수 있다.

<물리량>
- ε: 전지 기전력
- q/C: 축전기의 전위차, 축전기의 전기용량 C로부터 유도된 값으로 q는 축전기에 저장된 전하량을 뜻한다.
- IR: 옴의 법칙으로 유도된 저항기에 걸린 전압, I는 회로를 통해 통과하는 전류, R은 저항기의 고유 저항을 뜻한다.
전류의 방향과 임의의 화살표가 서로 같은 방향으로 움직일 때, 축전기는 '충전'되고, 저항은 퍼텐셜에너지를 '소비'하여 전압강하를 일으킨다.
- 저항기가 전구인 경우, 퍼텐셜에너지 소비는 전구에 불이 켜지는 식으로 나타날 것이다.
여기서 q와 I는 시간에 의존하는 물리량이다.
[1] 스위치를 누르는 순간인 t=0일 때, 축전기에 저장된 전하량 q는 0이다.

위의 식을 전류 I에 대해 고쳐쓰면, RC회로의 최고전류 값을 구할 수 있다.

<물리량>
- I_i: RC회로의 최고 전류
[2] 축전기의 최대 충전량
한편 축전기가 최대로 충전되면 RC회로에는 더 이상 전류가 흐르지 않는데, 같은 식에서 I를 0으로 취하고, 축전기의 최대 전하량을 Q라 했을 때, 식을 다음과 같이 쓸 수 있다.

전지 기전력이 축전기에 최대 전위차를 생성한 것이고 이를 RC회로의 최대 전하충전량 Q로 정리하면 아래와 같다.

RC회로 최고 전류

■
RC회로 축전기 최대(전하)충전량

■
[3] 축전기의 충전단계
전류가 흐르는 중, 축전기가 충전되는 단계를 분석하기 위해 우선 키르히호프 수식에 (1/R)을 곱한다.

여기서 전류 I는 dq/dt의 미분식(시간 당 흐르는 전하량)으로도 쓸 수 있다.

위의 식에서 dq/dt를 좌변항에 두고 양변에 (-1)을 곱하면,

로 식이 정리되고, 미분방정식 꼴은 아래와 같다.

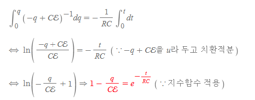
위의 식은 변수 분리가 가능한 형태로 변수 분리한 뒤 적분해보자.


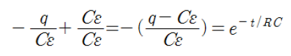
위 빨간식의 좌변항을 풀기 위해 1을 Cε/Cε로 고쳐쓰고,

다음 양변에 -Cε를 곱하면, 충전 시 시간에 따른 전하량 함수를 구할 수 있다.

충전 시, 시간에 따른 축전기의 충전 전하량 함수

■
위 식의 Cε는 RC회로 축전기 최대전하충전량임을 이미 알고 있다.
축전기 방전

RC회로에서 전지가 사라지면, 축전기에서는 방전이 발생한다.
- 회로에 전지가 없어진 것을 제외하고는 이전과 거의 같은 상황이다. ⇒ 전지 기전력 항을 지운다.

축전기가 충전된 상황에서 시계방향 이동 화살표는 여전히 작동[그림 3]하며, 충전된 축전기가 이제 전지의 역할을 하므로 양전하 +q가 충전된 판으로부터 전류 I가 보내진다.
- 축전기에서 발생한 전류는 시계방향 이동 화살표와 반대 방향이다.
저항기 항의 전류 I을 dq/dt로 변환한 뒤, 위 식을 아래와 같이 변형한다.

다음 빨간 식의 양변에 (1/R)을 곱하고, 미분방정식 꼴로 변경하면,

위와 같이 정리된다.
다음 미분방정식에 대해 변수분리를 한 뒤 적분을 할건데, 이때 초기조건은 t=0이고, q=Q(축전기가 최대로 충전된 상태)이다.

따라서, 방전 시 시간에 따른 축전기의 방전 전하량 함수는 다음과 같다.
방전 시, 시간에 따른 축전기의 방전 전하량 함수

■
시간에 따른 축전기의 충전 전하량 함수와 방전 전하량의 함수는 각각 [그림 4]와 [그림 5]와 같이 그려진다.


'수학 > 물리학을 위한 수학' 카테고리의 다른 글
| 【물리학을 위한 수학】 17. 1계 선형 미분방정식 (0) | 2026.01.03 |
|---|---|
| 【물리학을 위한 수학】 16. 적용: 탄소연대측정 (변수분리형 미분방정식) (0) | 2026.01.02 |
| 【물리학을 위한 수학】 14. 적용: 사망시각의 추정 (변수분리형 미분방정식) (0) | 2025.12.27 |
| 【물리학을 위한 수학】 13. 변수분리형 미분방정식 (0) | 2025.12.27 |
| 【물리학을 위한 수학】 12. 벡터미적분학 - 스토크스 정리 (0) | 2025.12.07 |