Herald-Lab
[미분] 6장. 도함수: 다항함수의 도함수 본문

자주 사용되는 함수-미분 공식 중 다항함수와 관련된 것들을 살펴보자.
1. 상수함수
모든 함수 중 상수함수는 가장 간단한 함수이다.

상수함수의 도함수

■
- d/dx는 미분연산자로 뒤에 나타난 함수를 미분한다는 뜻이다.
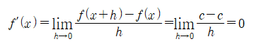
PROOF. 상수함수의 도함수

■
2. 거듭제곱함수
함수 f(x)=x^n의 n이 1이면, x^1=x이고, 그래프는 직선 f(x)=x로 그려진다. 이것의 기울기는 1이고, 따라서 다음과 같이 쓸 수 있다.
dx^1/dx=1
x가 2, 3일 때, 대입하면 2x, 3x^2인 것을 알 수 있다.

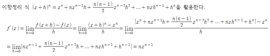
식 6.1을 양의 거듭제곱 법칙이라 하고, 증명은 다음과 같다.
PROOF. 양의 거듭제곱 법칙

■
음의 정수를 지수로 갖는 거듭제곱의 도함수도 역시 거듭제곱의 법칙(power rule)이 성립한다. 따라서 power rule은 일반적으로 다음과 같이 정의한다.
거듭제곱의 법칙

■
새로운 도함수
새로운 함수가 이전의 함수들을 더하거나 빼거나 혹은 상수배하여 만들어진 것이라면, 그 도함수는 이전 함수의 도함수에 의해 계산된다.
1. 상수배 법칙(constant multiple rule)
2. 합 법칙(sum rule)
3. 차 법칙(difference rule)
상수배 법칙

■
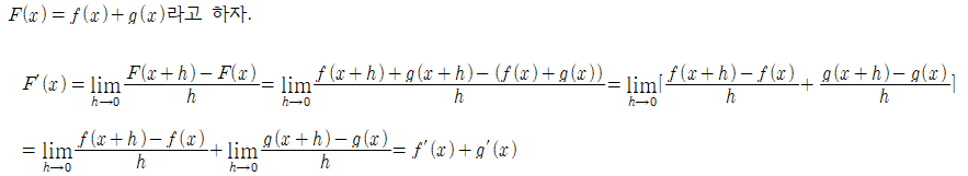
합 법칙

■
차 법칙

■
- f와 g는 x에 대한 함수이며, c는 constant이다.
미분은 선형연산자(linear operator)로, 두 함수의 미분을 구할 때 각 함수의 미분값을 따로 구해 이들을 합침으로써 값을 구할 수 있다.
- (f+g)의 미분 값은 (f의 미분 값) + (g의 미분 값)과 같다.
- (cf)의 미분 값은 c(f의 미분 값)과 같다. 단, 여기서 c는 마찬가지로 상수를 의미한다.
PROOF. 상수배 법칙

■
PROOF. 합 법칙

■
'Calculus > Concepts of Calculus' 카테고리의 다른 글
| [미분] 8장. 도함수: 삼각함수의 도함수 (0) | 2019.08.25 |
|---|---|
| [미분] 7장. 도함수: 곱법칙과 몫법칙, 그리고 연쇄법칙 (0) | 2019.08.25 |
| [미분] 5장. 도함수: 입문 (0) | 2019.08.24 |
| [미분] 4장. 점에서의 변화율 (0) | 2019.08.24 |
| [미분] 2장. 함수의 극한 (0) | 2019.08.24 |
