Herald-Lab
[미분] 4장. 점에서의 변화율 본문
구간축소법(Shrinking Interval Method, SIM)
- 증분(increment): 극히 작은 변화량으로 x축을 기준으로 δx로 표기한다.
- 어떤 점 x에 증분을 더한 값은 x+δx로 x와 x+δx 사이의 간격을 구간(interval)이라 한다.
만약 x=3에서 y=3x^2+1의 변화율을 구한다고 하자.
[1] x=3에서 y=3(3)^2+1=28이다.
[2] x=3+δx에서 y는 다음과 같다.

[3] 그러므로, y의 평균 변화율을 다음과 같이 계산할 수 있다.

할선의 기울기에서 접선의 기울기 개념을 유추한 것처럼 평균 변화율을 순간 변화율로 고치기 위해 구간을 점으로 축소시킨다.

구간의 증분 값 δx을 0으로 근사시키면, 구간이 점에 가까워 진다.
y 미분(derivative)

■
xy그래프에서의 y의 변화율을 y의 미분이라고 부르며, 증분 δx를 0으로 근사시킨 함수 그래프의 어떤 구간은 점으로 축소된다.
- dy/dx는 /dee y (by) dee x/로 읽는다.
- x는 독립변수, y는 종속변수이다.
- dy/dx는 간단하게 y'(prime)으로 표기하기도 한다.
미분(differentiation)은 쉽게 말해 y에서 y'을 찾는 절차이다.
접선
SIM을 응용해, 접선의 정의를 유도할 수 있다.

[1] 할선의 기울기는 다음과 같다.

- 두 점 P, Q를 잇는 할선의 기울기
- 접선을 구하기 위해서는 점 Q가 곡선인 함수 f의 경로를 따라 P에 접근하도록 해야 한다.
[2] 점 Q를 점 P에 접근하도록 하되, x≠a이다.
접선의 정의

■
접선이란, 점 Q가 함수의 경로 f를 따라 P에 접근할 때 할선 PQ의 극한에서의 위치이다.
접선의 정의에서 x를 a+h로 둘 수 있다.

같은 그래프임에도 이번에는 두 점을 a와 x 대신, a와 h(증분과 같은 개념)라는 새로운 수로 표현했다.
- h=x-a ⇒ 구간축소법에서 소개한 increment와 같다.
접선의 정의와 h의 정의를 접목하면, 드디어 미적분학에서 자주 모습을 보이던 식, 접선의 일반식을 유도할 수 있다!
접선의 일반식

■
접선의 일반식은 변화율을 나타낼 때 매우 유용한 개념으로, 수학자들은 이후 여기에 특별한 명칭과 기호를 붙였다.
미분계수(derivative coefficient)

■
- a에서의 함수 f의 극한을 미분계수라 하고 f'(a)라고 표시한다.
- h→0의 필요충분조건은 x→a이다.
구간축소법을 사용하여 y(x)의 미분값을 찾는 방법을 1차 원리에 의한 미분(differentiation from first principles)이라 한다.
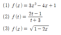
EXAMPLE 4.1 미분계수
다음의 미분계수를 구하시오.

□
'Calculus > Concepts of Calculus' 카테고리의 다른 글
| [미분] 7장. 도함수: 곱법칙과 몫법칙, 그리고 연쇄법칙 (0) | 2019.08.25 |
|---|---|
| [미분] 6장. 도함수: 다항함수의 도함수 (0) | 2019.08.25 |
| [미분] 5장. 도함수: 입문 (0) | 2019.08.24 |
| [미분] 2장. 함수의 극한 (0) | 2019.08.24 |
| [미분] 1장. 미분적분학 들어가기: 접선과 넓이 (0) | 2019.08.24 |
