Herald-Lab
[Mechanics] 블랙홀과 슈바르츠실트 반지름 | Black Hole and Schwarzschild Radius 본문
[Mechanics] 블랙홀과 슈바르츠실트 반지름 | Black Hole and Schwarzschild Radius
herald-lab 2020. 5. 4. 08:00
태양에서의 탈출속력(탈출속도)
태양에서의 탈출속도를 구하기 위해선 먼저 태양의 특성을 알아야 한다.
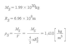
태양의 물리량

그리고 우린 이미 escape velocity의 일반식을 유도했다.
▼ Reference: Escape Velocity
https://blog.naver.com/sortie0228/221928071200

[Mechanics] 탈출 속도 | Escape Velocity
프랑스가 낳은 위대한 작가 쥘 베른이 쓴 소설 『지구에서 달까지(From the Earth to the Moon)』(1...
blog.naver.com
그러므로, 탈출속도 식에 태양의 물리량을 대입함으로써 탈출속도를 평균밀도 ρ에 연결할 수 있다.

- 탈출속력은 물체의 질량과는 무관하고, 태양의 질량과 반지름 값에 의존한다.
- 태양에서의 탈출속력은 빛의 속력 c의 1/500에 해당한다.

John Mitchell, 1724-1793, English
영국의 철학자이자 아마추어 천문학자였던 존 미첼 목사는 1783년, 탈출속도 식을 근거로 '태양과 같은 평균 밀도에 태양의 반지름에 500배가 되는 반지름을 가진 별에서 물체가 탈출하려면 물체가 빛의 속력보다 더 커야함'을 언급했다.
"태양이 가진 평균밀도에 반지름이 500배되는 별에서 빛은 방출되지 못하고 항상 그 물체를 향해 다시 돌아갈 것이다."
Mitchell 목사는 수식을 근거로 오늘날 블랙홀(black hole)이라 불리는 존재와 그 특성을 최초로 언급했다.
슈바르츠실트 반지름(Schwarzschild Radius)

Karl Schwarzschild, 1873-1916, German
원래 물질은 축퇴압(degeneracy pressure)으로 인해 물체의 밀도가 증가하면서 그 부피는 줄어들지 않을 수 있다. 하지만 물체의 질량이 한계점을 넘어 특정 지점에 존재한다면 degeneracy pressure를 극복할 수 있는 강한 중력을 가진다. 극도로 강한 중력에 의해 물체의 크기(부피)가 줄어들 게 되는데, 그 크기가 슈바르츠실트 반지름보다 작아지면 그 물체는 black hole이 된다.
- 물체가 충분한 질량을 가져 특정한 밀도에 가까워지면 물체의 중력이 극도로 커지는데, 이 중력으로 인해 물체의 크기가 슈바르츠실트 반지름보다 작아지면 black hole이 생성된다.
1916년, 독일의 물리학자 슈바르츠실트는 Einstein의 일반 상대성이론을 이용해 물체가 블랙홀이 되는 임계 반지름을 구했다.
Schwarzschild Radius

- c: 빛의 속력
■
만약 질량이 M인 구형의 비회전성 물체가 Schwarzschild radius보다 작은 반지름을 갖는다면, 빛조차도 이 물체의 표면으로부터 탈출할 수 없다.
Schwarzschild radius를 갖는 물체의 겉표면을 사건 지평선(event horizon)이라 하며, event horizon으로부터는 어떠한 것들도 빠져나갈 수 없기 때문에, 우리 또한 그 안에서 일어나는 사건들을 전혀 볼 수 없다.

그림 1. event horizon과 singularity
Black Hole의 정보
사건지평선 밖에서 얻을 수 있는 black hole의 정보는 (1)질량, (2)전하량, (3)각운동량 정도이다. 나머지 black hole에 관한 정보는 event horizon 안에서 붕괴되어 사라진다.
|
원시블랙홀 (primordial black hole) |
우주의 크기에 비해 아주 작은 물체의 슈바르츠실트의 반지름은 극단적으로 작을 것이다. 예를 들어 에베레스트 산 정도 크기의 물체의 슈바르츠실트 반지름은 나노미터보다 작다. 빅뱅 직후 미시 물체가 생성한 블랙홀을 primoridal black hole이라 한다. |
|
|
항성블랙홀 (stellar-mass black hole) |
- 무거운 별의 마지막 일생으로 중력붕괴로 인해 생성된 블랙홀 - 초신성 또는 감마선 폭발현상이 관측된다. (1) 초신성(supernova): 에너지가 큰 별의 폭발 현상으로 높은 광도와 방사선이 검출된다. 폭발의 결과, 항성은 자신의 구성 물질 대부분은 방출하며 이 때 물질의 방출 속력이 광속의 10%에 이른다. 이 때문에, 우주의 충격파가 생성되기도 한다(Schawinski, 2008). (2) 감마선 폭발(gamma ray burst, GRB): 은하에서 관측되는 에너지 폭발로 다량의 감마선이 검출된다. 우주에서 일어나는 전자기 복사 중 가장 밝은 것이 특징이다(NASA, 2012). |
|
|
초대질량블랙홀 (supermassive black hole) |
- 질량이 태양 질량의 수십만 배에서 수십억 배에 이르는 최대 크기의 블랙홀 - 은하 중심에 초대질량 블랙홀이 있을 것으로 추정한다. |
|

그림 2. 별을 찢는 supermassive black hole, 은하 RX J1424-11에서 별을 먹는 블랙홀
EXAMPLE 1. 블랙홀의 계산
태양 질량의 3배인 별이 자신의 중력에 의해 붕괴하여 블랙홀이 될 때, 사건지평선의 반지름을 계산하고, 이를 근거로 평균 밀도를 구하시오.
□
#물리 #일반물리학 #블랙홀 #원시블랙홀 #항성블랙홀 #초신성 #감마선폭발 #초대질량블랙홀 #슈바르츠실트반지름 #슈바르츠실트 #탈출속도 #탈출속력
'물리학 > 고전역학' 카테고리의 다른 글
| [Mechanics] 운동마찰력의 분석 | Analysis of the Frictional Force (0) | 2020.05.17 |
|---|---|
| [Mechanics] 뉴턴의 운동법칙 | Newton's Laws of Motion (0) | 2020.05.04 |
| [Mechanics] 퍼텐셜에너지로 힘 구하기 | Derivation of Forces from Potential Energy (0) | 2020.05.04 |
| [Mechanics] 에너지 보존법칙 | Law of Conservation of Energy (0) | 2020.05.02 |
| [Mechanics] 탄성력과 탄성 퍼텐셜에너지 | Elastic Force and Elastic Potential Energy (0) | 2020.05.02 |
