Herald-Lab
극한의 부정형의 또 다른 형태와 차수대조법 본문

극한의 부정형으로 지금까지 0/0 부정형, 그리고 ∞/∞ 부정형을 알아보았다. 이외에도 실전문제에서는 다음과 같은 부정형도 만날 수 있다.
- 차 부정형: ∞-∞ 부정형
- 곱 부정형: 0×∞ 부정형
차 부정형의 풀이

차 부정형은 식 1의 형태로 무한대를 그대로 대입하면 연산 결과가 0 또는 무한대로 구해진다. 차 부정형은 식의 종류에 따라 다음 풀이법을 갖는다.
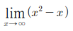
1. 식이 다항식-다항식 꼴이라면, 먼저 최고차항을 묶어주어 계산한다.

식 2는 최고차항이 x^2이므로, 이를 묶어주면 다음과 같이 계산할 수 있다.

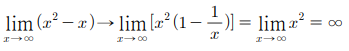
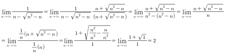
2. 식에 무리식이 있다면, 유리화를 해준다.

식 3에 존재하는 무리식을 다음과 같이 풀어 계산할 수 있다.

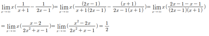
EXAMPLE 1.
다음 식을 구하시오.

SOLUTION.

■
곱 부정형의 풀이
무한소 0의 정의

따라서, ∞/∞는 아래와 같은 이유로 무한소 0/무한소 0임을 알 수 있다.

0×∞ 부정형과 0/0 부정형은 서로 같은 특징을 공유한다.
- 두 부정형의 0은 숫자 0이 아닌 무한소 0을 의미한다.
- 무한소 0은 수가 0을 향해 줄어드는 상태를 의미한다.
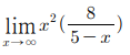
EXAMPLE 2.
다음 식을 구하시오.

SOLUTION.
식 4에 ∞를 그대로 대입하면 0×∞ 부정형으로 볼 수 있다.

■
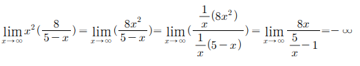
차수대조법

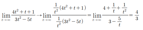
식 5와 같은 식을 푼다고 하자. 식 5는 ∞/∞ 부정형으로 분모의 최고차항 x로 분자와 분모를 나누어 극한 값을 구할 수 있다.

식 6의 풀이를 위해 유리수의 무한대 극한 성질을 활용했다.
유리수의 무한대 극한

■
식 6의 풀이 과정은, 극한을 계산할 때 분자와 분모의 차수가 같다면 분자와 분모의 최고차항의 계수만 고려하면 됨을 알려준다.
차수대조법
- 분자와 분모의 차수가 같다면 분자와 분모의 최고차항의 계수만 고려한다.
- 분자의 차수가 분모의 차수보다 크면 ∞ 또는 -∞이다.
- 분모의 차수가 분자의 차수보다 크면 0이다.
■

식 7은 분자와 분모의 최고차항이 서로 같기 때문에 분모의 최고차항을 나눌 것 없이 바로 최고차항의 계수만으로 답을 구하면 된다.
EXAMPLE 3.
다음 식을 구하시오.

SOLUTION.

■
'Calculus > Advanced Calculus' 카테고리의 다른 글
| 적분표(Table of Integrals) (0) | 2019.09.08 |
|---|---|
| 미분표(Table of Derivatives) (0) | 2019.09.08 |
| 고차 미분: 2차 도함수 (0) | 2019.09.07 |
| 무한소의 활용(Use of Infinitesimals) (0) | 2019.09.07 |
| 엡실론-델타 논법 (0) | 2019.08.30 |