Herald-Lab
적분표(Table of Integrals) 본문
역도함수
구간 I에서 f(x)가 정의된다고 할 때, F(x)를 f(x)의 역도함수(antiderivative)라 하자.
- 구간 I에서 역도함수 F(x)와 f(x)가 정의될 때, f(x)는 역도함수의 도함수로 표현할 수 있다.

- F(x)는 f(x)의 역도함수로, x∈I를 만족한다.
F(x) 찾기
예를 들어, x^2(f(x))의 역도함수로 x^3/3이 가능함을 계산할 수 있다.

뿐만 아니라 (x^3/3)+5 또는 (x^3/3)-7도 x^2의 역도함수가 됨을 미분표를 활용해 쉽게 확인할 수 있다.
- 상수함수의 도함수는 0이다.
+5나 -7은 constant로 C로 일반화하여 표현가능하다.

f(x)의 antiderivative는 증명 과정에서 본 것처럼 다양한 constant를 가질 수 있으므로, 역도함수군(the set of all antiderivatives)을 이룬다고 할 수 있으며 이를 함축한 단어로 (역도함수군을) f(x)의 부정적분(indefinite integral)이라 부른다.

식 1의 내용을 식 2처럼 표현하면 아래와 같다.

- ∫: integral symbol
- f(x): integrand
- x: variable of integration
- dx: differential of the variable x
- C: constant of integration
적분표



적분은 결과적으로 미분의 역과정이므로, 적분표는 또한 미분표(table of derivatives)의 형태와 유사하다.
- a, p(p≠0), C는 real constant이다.
- b는 지수함수의 밑으로 b>0, b≠1의 조건을 갖는다.
상수함수의 부정적분

멱의 법칙
- p≠0 and p≠-1

1/x의 부정적분

More generally,

지수함수의 부정적분
(1) b^x

(2) e^x

삼각함수의 부정적분

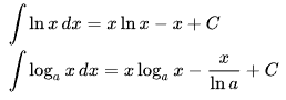
로그함수의 부정적분

쌍곡선함수의 부정적분

'Calculus > Advanced Calculus' 카테고리의 다른 글
| 단순방정식과 변수분리방정식 (0) | 2021.11.07 |
|---|---|
| 미분방정식의 기본개념 (0) | 2021.11.07 |
| 미분표(Table of Derivatives) (0) | 2019.09.08 |
| 고차 미분: 2차 도함수 (0) | 2019.09.07 |
| 무한소의 활용(Use of Infinitesimals) (0) | 2019.09.07 |